北京大兴国际机场作为国内首个按照 III B 标准运行的机场,能够依靠盲降系统在浓雾等低能见度条件下保障飞机安全着陆。然而,在极端低能见度天气(例如 RVR 低于 50 米)条件下,飞行员在着陆滑行操作中,可能会出现滑行道引导灯光系统识别困难的情况,有可能影响落地后的滑行引导与运行效率。
根据中国民用航空局飞行标准司发布的运行安全通告——《所需目视参考》(OSB-2022-02),飞行员在建立“目视参考”时,必须清楚地看到并辨认地面灯光系统或跑道标志,才能保证安全着陆。然而,现行的能见度与跑道视程(RVR)计算方法,仅描述目标物或灯光“能否被看见”的最远距离,并未回答飞行员“能否看清楚”的问题。这种差异在极低能见度条件下尤为重要。
基于以上问题,中国民航大学台宏达团队联合大兴空管中心、国家市场监管重点实验室(计量光学及应用)和香港天文台开展了系统研究。2025 年10月29日,研究成果以 Effects of Lighting-Induced Background Luminance Variation on Signal Light Visibility and Recognition 为题,发表在北美照明工程学会主办的照明领域权威 SCI 期刊《LEUKOS》(JCR Q2,IF=2.6)。研究从光学机理上解释了低能见度条件下机场灯光系统可识别性受限的原因,为提升极端天气下的运行安全提供了新的理论依据。文章DOI号:https://doi.org/10.1080/15502724.2025.2571710

灯光系统并非孤立存在,背景亮度是关键影响因素之一

图1:滑行道灯光系统的布局示意图。不同类型灯具(边灯、中心线灯、停止排灯、快速出口灯等)共同构成了飞行员在低能见度条件下的视觉环境。
滑行道灯光系统由多种灯具组成,不同灯光的布局形成了一个层次分明、密集分布的亮度环境。这意味着飞行员在雾中的视觉感受并非面对单一光源,而是处于由多灯叠加形成的综合亮度背景之中。

图2 滑行道灯光叠加后的伪彩色亮度分布。不同灯光叠加会显著提升背景亮度,从而降低关键信号灯(如停止排灯)的有效对比度。
论文的亮度分布分析进一步量化了这一效应:在雾的散射作用下,多灯光共同提升周围区域的背景亮度,使部分关键引导灯光的对比度下降。这种对比度降低是导致极低能见度条件下视觉识别能力减弱的重要物理原因。
“看见”和“看清楚”是两种完全不同的距离
团队基于 Visibility Level(可见度水平)模型,首次将机场灯光的视觉特性区分为两种距离:
可见距离(LVR):飞行员能看见灯光的最远距离;
可识别距离(LRR):飞行员能够辨认灯光类型与意义的距离。
通过大量数值计算与分析,研究发现:在低能见度条件下,LRR 可能仅为 LVR 的十分之一甚至更低;当背景亮度升高、对比度下降时,这种差距会进一步扩大。

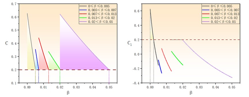
图3:传统模型(C)与新模型(C₁)在不同消光系数下的对比度计算结果。传统模型在低能见度条件下显著高估可视能力,而新模型更契合实际观察情况。
研究显示,传统模型在低能见度条件下显著高估了灯光的可视能力,而新模型在考虑多灯叠加的背景亮度后,计算结果更贴近实际观测。尤其在中等至较差能见度条件下,传统模型对可识别距离的高估可超过 300%。
研究的应用价值:为低能见度运行提供更科学的判断依据
该项研究为行业提供了新的认识框架和应用思路:
从机理上揭示了极低能见度下滑行视觉识别能力下降的光学原因;
为滑行道灯光系统的布局、强度与组合方式优化提供了定量依据;
为能见度 / RVR 评估方法的改进提供了科学扩展方向,使评估从“可见性”走向“可识别性”;
为低能见度运行标准的完善与安全评估提供了理论支撑。
这一研究成果为解决“飞机能落地,却难以滑行”的现象提供了可量化、可验证的科学模型,有望推动低能见度保障从“看到灯光”迈向“看懂灯光”的新阶段。
低能见度运行是一项系统性极强的综合工程,而视觉可识别性是其中的关键环节。本研究从灯光光学特性出发,对低能见度运行中的视觉机制进行了科学剖析,也为未来机场灯光系统的设计、评估与运行优化提供了可行路径。团队将继续围绕极端天气条件下的机场运行安全展开深入研究,为民航行业的高质量发展持续贡献力量。